- 技术文章
无机地面材料耐磨试验机结果计算与评定
2021-01-26 10:46:01 来源:上海荣计达仪器科技有限公司 无机地面材料耐磨试验机结果计算与评定
无机地面材料耐磨试验机适用于无釉砖、马赛克、水泥路面砖等脆性材料的耐磨试验,通过齿轮传动减速达到钢轮转速75r/min,齿轮传动相比皮带传动减速精准、平稳、不会出现打滑现象,钢轮转动由时间继电器控制,电机转到预定时间也就是转到试验要求的转速,电机自动停止。
结果计算与评定
(1)、试验结果按5块试样的平均磨损体积进行评定;
(2)、测量试验表面的磨坑弦长,精确到0.1mm,测得弦长后从砖耐磨深度的测定标准中查出磨损体积;
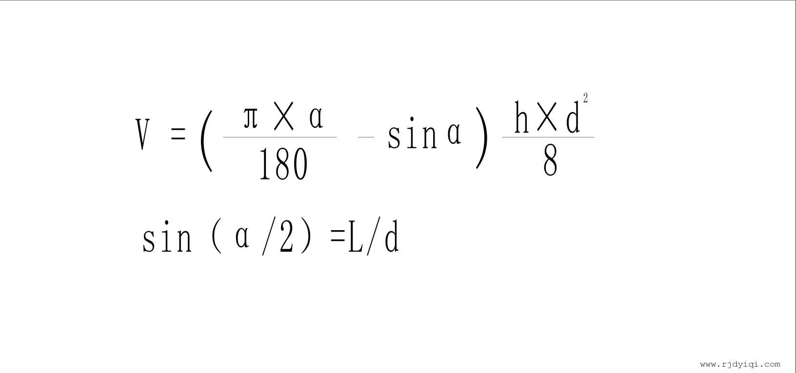
(3)、磨损体积以V(mm3)表示,根据磨坑的弦长按下列公式计算:
其中:
a---弦对摩擦轮的中心角(度)(见图2);
d---摩擦钢轮直径,单位为mm;
h---摩擦钢轮的厚度,单位mm;
L---弦长,单位mm;
符合标准:
GBT 3810.6-2016 陶瓷砖试验方法 第6部分:无釉砖耐磨深度的测定
ISO/DIS10545/6—94《无釉砖耐深度磨损试验方法》
GBT 12988-2009 无机地面材料耐磨性能试验方法
上一篇:石膏防火性能测定仪操作步骤下一篇:土工合成材料渗透系数测定仪使用说明
-
产品搜索
联系方式
- 联系人:王林
- 电 话:13761118616
- 手 机:13761118616
- 邮 编:201114
- 地 址:上海市闵行区浦江镇沈杜公路3259号
- 网 址: https://rongjida17.cn.goepe.com/
http://www.rjdyiqi.com









