- 技术文章
无釉砖耐磨深度结果计算与评定
2021-01-28 14:10:28 来源:上海荣计达仪器科技有限公司 无釉砖耐磨深度结果计算与评定
无釉砖耐磨试验机满足 GBT 3810.6-2016 陶瓷砖试验方法 第 6 部分:无釉砖耐磨深度的测定 ISO/DIS10545/6—94《无釉砖耐深度磨损试验方法》。适用于无釉砖、马赛克、水泥路面砖等脆性材 料的耐磨试验,通过齿轮传动减速达到钢轮转速 75r/min,齿轮传动相比皮带传动减速精准、平稳、 不会出现打滑现象,钢轮转动由时间继电器控制,电机转到预定时间也就是转到试验要求的转速,电 机自动停止。
结果计算与评定
(1)、试验结果按 5 块试样的平均磨损体积进行评定;
(2)、测量试验表面的磨坑弦长,精确到 0.1mm,测得弦长后从砖耐磨深度的测定标准中查出磨损体 积;
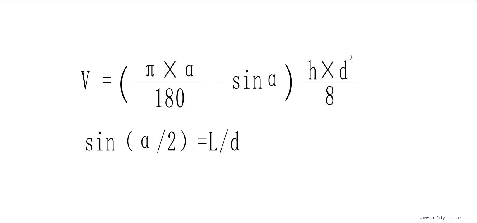
(3)、磨损体积以 V(mm3)表示,根据磨坑的弦长按下列公式计算: 其中: a---弦对摩擦轮的中心角(度)(见图 2);
d---摩擦钢轮直径,单位为 mm; h---摩擦钢轮的厚度,单位 mm; L---弦长,单位 mm; 符合标准: GBT 3810.6-2016 陶瓷砖试验方法 第 6 部分:无釉砖耐磨深度的测定 ISO/DIS10545/6—94《无釉砖耐深度磨损试验方法》
上一篇:混凝土路面砖耐磨试验机结果计算与评定下一篇:电子拉力试验机软件操作方法
-
产品搜索
联系方式
- 联系人:王林
- 电 话:13761118616
- 手 机:13761118616
- 邮 编:201114
- 地 址:上海市闵行区浦江镇沈杜公路3259号
- 网 址: https://rongjida17.cn.goepe.com/
http://www.rjdyiqi.com










